Pagero Verifactu

Pagero Online is now Verifactu

Following the entry into force of the Anti-Fraud Law (Law 11/2021) and the subsequent publication of the Royal Decree (1007/2023), regarding the obligation to use invoicing software that prevents data manipulation and connects to the Tax Agency, Pagero Online has made the necessary progress to obtain validation of our Responsible Declaration for the Invoicing IT System and thus comply with this requirement, which comes into force on July 29, 2025 for software manufacturers, on January 1, 2026 for companies and on July 1, 2026 for rest of taxpayers required to comply.
What is Verifactu?
The Verifactu law (Royal Decree 1007/2023) establishes the requirements for systems and programs that support the invoicing processes, and the standardize billing record formats, for all taxpayers with less than €6 million in annual turnover. Its main goal is to fight tax fraud and improve administrative efficiency.
Objectives of the Verifactu System
  • Fight against fraud and tax evasion
    by ensuring the integrity and accuracy of billing records.
  • Digitalization of companies
    by regulating computerized billing systems and encouraging the use of digital tools for tax compliance.
  • Improvement of assistance services
    provided by the Tax Agency to taxpayers, making it easier for them to comply with tax requirements and access their tax records.
  • Guarantee of billing record integrity
    to ensure compliance with tax requirements, specifically article 29.2.j) LGT, and guarantees the conservation, accessibility, legibility, traceability, and inalterability of billing records.
Why is this important for you?
With Pagero Online, complying with the Verifactu Law is easy. Our electronic invoicing software is adapted to the requirements of the Tax Agency, with the responsible declaration included. Automate your invoicing, save time, and avoid penalties with a secure, fast, and simple solution. Get ready for 2026 and digitize your business effortlessly.
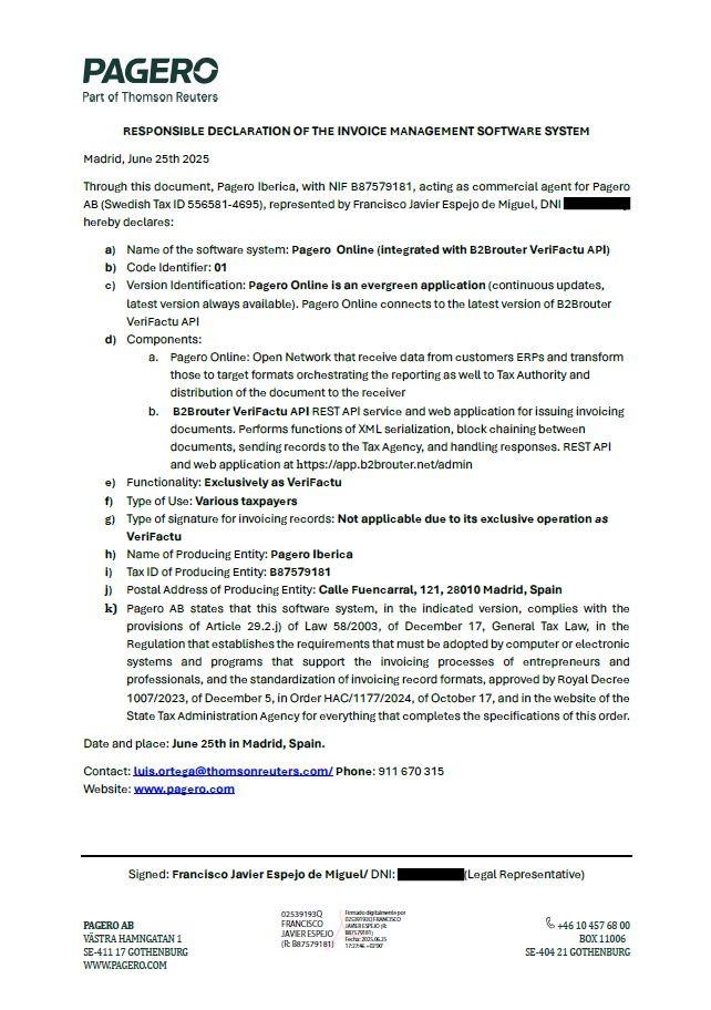
Invoice system doc